109
britannica - americana
74
EINSTEIN ALBERT
(1879-1955).
L.A.S. « A.E. », [28 mai 1950],
à Ernst Gabor STRAUS ; 3 pages in-4 ;
en allemand.
15 000 / 20 000 €
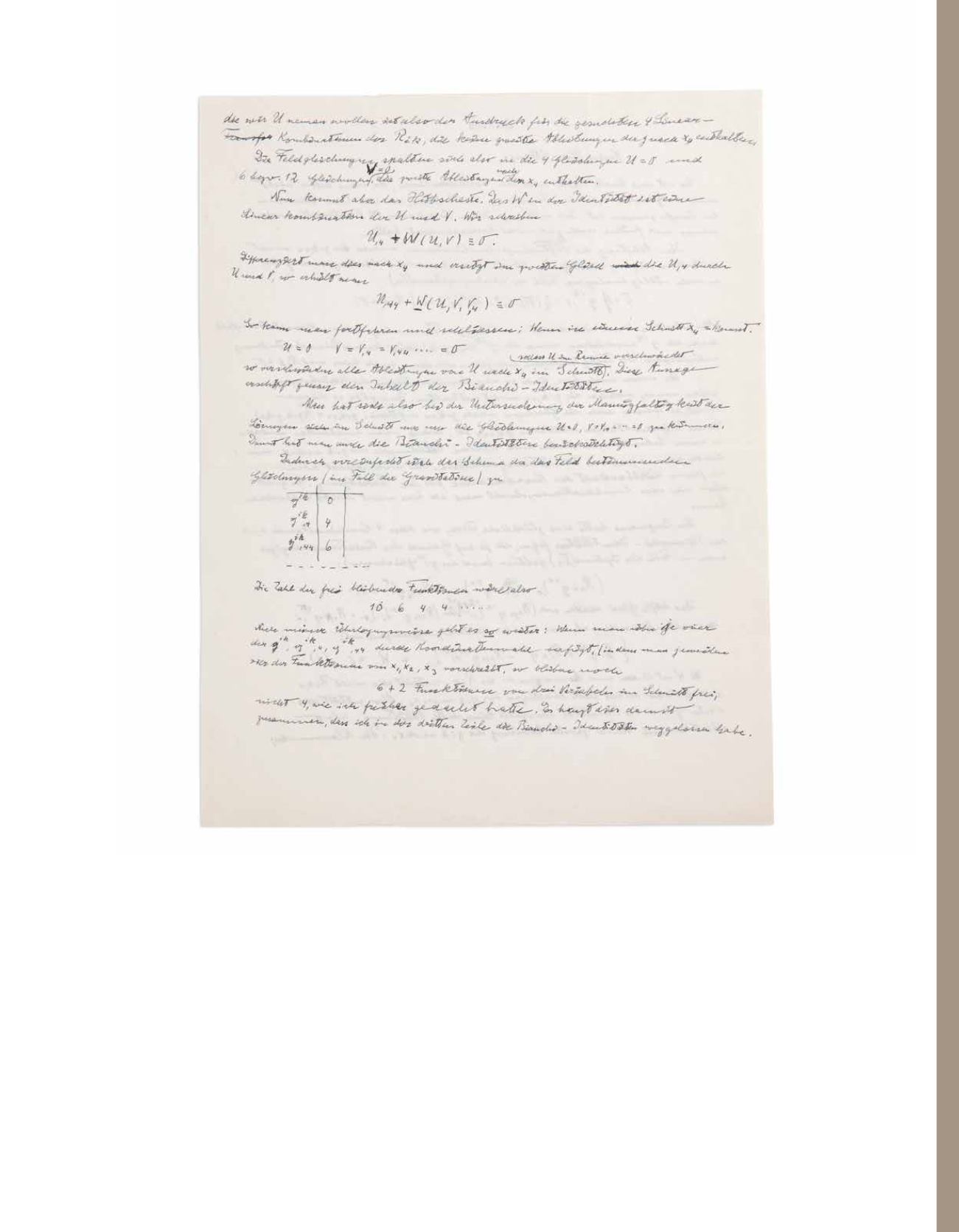
Longue lettre scientifique avec formules,
calculs et un tableau sur la question
de la compatibilité dans la théorie de
la relativité.
Il évoque la difficulté de leur
correspondance croisée, n’étant déjà
plus le même quand on reçoit la réponse
que quand on avait écrit la lettre.
Il juge tout à fait correcte sa dérivation des
4 combinaisons d’équations linéaires, qu’il
développe dans le détail. Il se réfère aux
calculs de Bergmann, qui a eu une bonne
idée de la manière dont ces 4 combinaisons
découlent des identités de Bianchi… Etc.
« Ihre Ableitung der 4 linearen Gleichungs-
Kombinationen, welche die gik,44 nicht
enthalten, ist ganz richtig. Sie lässt sich aber
nicht übertragen auf den an sich völlig analogen
Fall des Gleichungssystems (Ia) :
[formule]
.
Hier nämlich lassen sich die 60 unabhängigen
T
i
l
k
analog wie im Gravitationsfall durch die
g
ik
ausdrücken, sodass die g
ik
(begr. gik)
dabei keines Einschränkung unterliegen.




